Git позволяет указывать конкретные коммиты или их последовательности несколькими способами. Они не всегда очевидны, но иногда их полезно знать.
Вы можете просто сослаться на коммит по его SHA-1 хешу, но также существуют более понятные для человека способы ссылаться на коммиты. В этом разделе кратко описаны различные способы обратиться к одному определённому коммиту.
Git достаточно умён для того, чтобы понять какой коммит вы имеете в виду по первым нескольким символам (частичному хешу), конечно, если их не меньше четырёх и они однозначны, то есть если хеш только одного объекта в вашем репозитории начинается с этих символов.
Предположим, что вы хотите посмотреть содержимое какого-то конкретного коммита. Вы выполняете команду git log и находите этот коммит (например, тот, в котором вы добавили какую-то функциональность):
$ git log
commit 734713bc047d87bf7eac9674765ae793478c50d3
Author: Scott Chacon <schacon@gmail.com>
Date: Fri Jan 2 18:32:33 2009 -0800
fixed refs handling, added gc auto, updated tests
commit d921970aadf03b3cf0e71becdaab3147ba71cdef
Merge: 1c002dd... 35cfb2b...
Author: Scott Chacon <schacon@gmail.com>
Date: Thu Dec 11 15:08:43 2008 -0800
Merge commit 'phedders/rdocs'
commit 1c002dd4b536e7479fe34593e72e6c6c1819e53b
Author: Scott Chacon <schacon@gmail.com>
Date: Thu Dec 11 14:58:32 2008 -0800
added some blame and merge stuff
В нашем случае выберем коммит 1c002dd..... При использовании git show для просмотра содержимого этого коммита следующие команды эквивалентны (предполагая, что сокращённые версии однозначны):
$ git show 1c002dd4b536e7479fe34593e72e6c6c1819e53b
$ git show 1c002dd4b536e7479f
$ git show 1c002d
Git может показать короткие уникальные сокращения ваших SHA-1 хешей. Если вы передадите опцию --abbrev-commit команде git log,
то её вывод будет использовать сокращённые значения, сохраняя их
уникальными; по умолчанию будут использоваться семь символов, но при
необходимости длина будет увеличена для сохранения однозначности хешей:
$ git log --abbrev-commit --pretty=oneline
ca82a6d changed the version number
085bb3b removed unnecessary test code
a11bef0 first commit
В общем случае восемь-десять символов более чем достаточно для уникальности внутри проекта. В одном из самых больших проектов, использующих Git, ядре Linux только начинает появляться необходимость использовать 12 символов из 40 возможных для сохранения уникальности.
Многие люди интересуются, что произойдёт, если они в какой-то момент, по некоторой случайности, получат два объекта в репозитории, которые будут иметь два одинаковых значения SHA-1 хеша. Что тогда?
Если вы вдруг закоммитите объект, SHA-1 хеш которого такой же, как у некоторого предыдущего объекта в вашем репозитории, Git обнаружит предыдущий объект в своей базе данных и посчитает, что он уже был записан. Если вы в какой-то момент попытаетесь получить этот объект опять, вы всегда будете получать данные первого объекта.
Однако, вы должны осознавать то, как смехотворно маловероятен этот
сценарий. Длина SHA-1 составляет 20 байт или 160 бит. Количество
случайно хешированных объектов, необходимое для того, чтобы получить 50%
вероятность одиночного совпадения составляет порядка 2^80 (формула для
определения вероятности совпадения: p = (n(n-1)/2) * (1/2^160))). 2^80 это 1.2 x 10^24 или один миллион миллиарда миллиардов. Это в 1200 раз больше количества песчинок на земле.
Вот пример для того, чтобы вы поняли, что необходимо, чтобы получить SHA-1 коллизию. Если бы все 6.5 миллиардов людей на Земле программировали и каждую секунду каждый из них производил количество кода, эквивалентное всей истории ядра Linux (1 миллион Git-объектов) и отправлял его в один огромный Git-репозиторий, то потребовалось бы 5 лет для того, чтобы заполнить репозиторий достаточно для того, чтобы получить 50% вероятность единичной SHA-1 коллизии. Более вероятно, что каждый член вашей команды программистов будет атакован и убит волками в несвязанных друг с другом случаях в одну и ту же ночь.
Для самого прямого метода указать коммит необходимо, чтобы этот
коммит имел ветку, ссылающуюся на него. Тогда вы можете использовать имя
ветки в любой команде Git'а, которая ожидает коммит или значение SHA-1.
Например, если вы хотите посмотреть последний коммит в ветке, следующие
команды эквивалентны, предполагая, что ветка topic1 ссылается на ca82a6d:
$ git show ca82a6dff817ec66f44342007202690a93763949
$ git show topic1
Чтобы посмотреть, на какой именно SHA указывает ветка, или понять для
какого-то из приведённых примеров, к каким SHA он сводится, можно
использовать служебную (plumbing) утилиту Git'а, которая называется rev-parse. Вы можете заглянуть в главу 9 для получения более подробной информации о служебных утилитах; в основном rev-parse
нужна для выполнения низкоуровневых операций и не предназначена для
использования в повседневной работе. Однако, она может пригодиться, если
вам необходимо разобраться, что происходит на самом деле. Сейчас вы
можете попробовать применить rev-parse к своей ветке.
$ git rev-parse topic1
ca82a6dff817ec66f44342007202690a93763949
Одна из вещей, которую Git делает в фоновом режиме, пока вы работаете, это запоминание ссылочного лога — лога того, где находились HEAD и ветки в течение последних нескольких месяцев.
Ссылочный лог можно просмотреть с помощью git reflog:
$ git reflog
734713b... HEAD@{0}: commit: fixed refs handling, added gc auto, updated
d921970... HEAD@{1}: merge phedders/rdocs: Merge made by recursive.
1c002dd... HEAD@{2}: commit: added some blame and merge stuff
1c36188... HEAD@{3}: rebase -i (squash): updating HEAD
95df984... HEAD@{4}: commit: # This is a combination of two commits.
1c36188... HEAD@{5}: rebase -i (squash): updating HEAD
7e05da5... HEAD@{6}: rebase -i (pick): updating HEAD
Каждый раз, когда верхушка ветки обновляется по какой-либо причине,
Git сохраняет информацию об этом в эту временную историю. И вы можете
использовать и эти данные для задания старых коммитов. Если вы хотите
посмотреть, какое значение было у HEAD в вашем репозитории пять шагов
назад, используйте ссылку вида @{n} так же, как показано в выводе команды reflog:
$ git show HEAD@{5}
Также вы можете использовать эту команду, чтобы увидеть, где ветка
была некоторое время назад. Например, чтобы увидеть, где была ветка master вчера, наберите
$ git show master@{yesterday}
Эта команда покажет, где верхушка ветки находилась вчера. Такой подход работает только для данных, которые всё ещё находятся в ссылочном логе. Так что вы не сможете использовать его для коммитов с давностью в несколько месяцев.
Чтобы просмотреть информацию ссылочного лога в таком же формате, как вывод git log, можно выполнить git log -g:
$ git log -g master
commit 734713bc047d87bf7eac9674765ae793478c50d3
Reflog: master@{0} (Scott Chacon <schacon@gmail.com>)
Reflog message: commit: fixed refs handling, added gc auto, updated
Author: Scott Chacon <schacon@gmail.com>
Date: Fri Jan 2 18:32:33 2009 -0800
fixed refs handling, added gc auto, updated tests
commit d921970aadf03b3cf0e71becdaab3147ba71cdef
Reflog: master@{1} (Scott Chacon <schacon@gmail.com>)
Reflog message: merge phedders/rdocs: Merge made by recursive.
Author: Scott Chacon <schacon@gmail.com>
Date: Thu Dec 11 15:08:43 2008 -0800
Merge commit 'phedders/rdocs'
Важно отметить, что информация в ссылочном логе строго локальная —
это лог того, чем вы занимались со своим репозиторием. Ссылки не будут
теми же самыми в чьей-то чужой копии репозитория; и после того как вы
только что склонировали репозиторий, ссылочный лог будет пустым, так как
вы ещё ничего не делали со своим репозиторием. Команда git show HEAD@{2.months.ago}
сработает, только если вы склонировали свой проект как минимум два
месяца назад. Если вы склонировали его пять минут назад, то вы ничего не
получите.
Ещё один основной способ указать коммит — указать коммит через его предков. Если поставить ^ в конце ссылки, для Git'а это будет означать родителя этого коммита.
Допустим, история вашего проекта выглядит следующим образом:
$ git log --pretty=format:'%h %s' --graph
* 734713b fixed refs handling, added gc auto, updated tests
* d921970 Merge commit 'phedders/rdocs'
|\
| * 35cfb2b Some rdoc changes
* | 1c002dd added some blame and merge stuff
|/
* 1c36188 ignore *.gem
* 9b29157 add open3_detach to gemspec file list
В этом случае вы можете посмотреть предыдущий коммит, указав HEAD^, что означает "родитель HEAD":
$ git show HEAD^
commit d921970aadf03b3cf0e71becdaab3147ba71cdef
Merge: 1c002dd... 35cfb2b...
Author: Scott Chacon <schacon@gmail.com>
Date: Thu Dec 11 15:08:43 2008 -0800
Merge commit 'phedders/rdocs'
Вы также можете указать некоторое число после ^. Например, d921970^2
означает "второй родитель коммита d921970". Такой синтаксис полезен
только для коммитов-слияний, которые имеют больше, чем одного родителя.
Первый родитель — это ветка, на которой вы находились во время слияния, а
второй — коммит на ветке, которая была слита:
$ git show d921970^
commit 1c002dd4b536e7479fe34593e72e6c6c1819e53b
Author: Scott Chacon <schacon@gmail.com>
Date: Thu Dec 11 14:58:32 2008 -0800
added some blame and merge stuff
$ git show d921970^2
commit 35cfb2b795a55793d7cc56a6cc2060b4bb732548
Author: Paul Hedderly <paul+git@mjr.org>
Date: Wed Dec 10 22:22:03 2008 +0000
Some rdoc changes
Другое основное обозначение для указания на предков — это ~. Это тоже ссылка на первого родителя, поэтому HEAD~ и HEAD^ эквивалентны. Различия становятся очевидными, только когда вы указываете число. HEAD~2
означает первого родителя первого родителя HEAD или прародителя — это
переход по первым родителям указанное количество раз. Например, для
показанной выше истории, HEAD~3 будет
$ git show HEAD~3
commit 1c3618887afb5fbcbea25b7c013f4e2114448b8d
Author: Tom Preston-Werner <tom@mojombo.com>
Date: Fri Nov 7 13:47:59 2008 -0500
ignore *.gem
То же самое можно записать как HEAD^^^, что опять же означает первого родителя первого родителя первого родителя:
$ git show HEAD^^^
commit 1c3618887afb5fbcbea25b7c013f4e2114448b8d
Author: Tom Preston-Werner <tom@mojombo.com>
Date: Fri Nov 7 13:47:59 2008 -0500
ignore *.gem
Кроме того, можно комбинировать эти обозначения. Например, можно
получить второго родителя для предыдущей ссылки (мы предполагаем, что
это коммит-слияние) написав HEAD~3^2, ну и так далее.
Теперь, когда вы умеете задавать отдельные коммиты, разберёмся, как указать диапазон коммитов. Это особенно полезно при управлении ветками — если у вас много веток, вы можете использовать обозначения диапазонов, чтобы ответить на вопросы типа "Какие в этой ветке есть коммиты, которые не были слиты в основную ветку?"
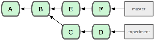
Наиболее распространённый способ задать диапазон коммитов — это запись с двумя точками. По существу, таким образом вы просите Git взять набор коммитов, достижимых из одного коммита, но не достижимых из другого. Например, пускай ваша история коммитов выглядит так, как показано на рисунке 6-1.

Допустим, вы хотите посмотреть, что в вашей ветке experiment ещё не было слито в ветку master. Можно попросить Git показать вам лог только таких коммитов с помощью master..experiment
— эта запись означает "все коммиты, достижимые из experiment, которые
недостижимы из master". Для краткости и большей понятности в примерах мы
будем использовать буквы для обозначения коммитов на диаграмме вместо
настоящего вывода лога в том порядке, в каком они будут отображены:
$ git log master..experiment
D
C
С другой стороны, если вы хотите получить обратное — все коммиты в master, которых нет в experiment, можно переставить имена веток. Запись experiment..master покажет всё, что есть в master, но недостижимо из experiment:
$ git log experiment..master
F
E
Такое полезно, если вы хотите, чтобы ветка experiment
была обновлённой, и хотите посмотреть, что вы собираетесь в неё слить.
Ещё один частый случай использования этого синтаксиса — посмотреть, что
вы собираетесь отправить на удалённый сервер:
$ git log origin/master..HEAD
Эта команда покажет вам все коммиты в текущей ветке, которых нет в ветке master на сервере origin. Если бы вы выполнили git push, при условии, что текущая ветка отслеживает origin/master, то коммиты, которые перечислены в выводе git log origin/master..HEAD
это те коммиты, которые были бы отправлены на сервер.
Кроме того, можно опустить одну из сторон в такой записи — Git подставит
туда HEAD. Например, вы можете получить такой же результат, как и в
предыдущем примере, набрав git log origin/master.. — Git подставит HEAD сам, если одна из сторон отсутствует.
Запись с двумя точками полезна как сокращение, но, возможно, вы
захотите указать больше двух веток, чтобы указать нужную ревизию.
Например, чтобы посмотреть, какие коммиты находятся в одной из
нескольких веток, но не в текущей. Git позволяет сделать это с помощью
использования либо символа ^, либо --not перед любыми ссылками, коммиты, достижимые из которых, вы не хотите видеть. Таким образом, следующие три команды эквивалентны:
$ git log refA..refB
$ git log ^refA refB
$ git log refB --not refA
Это удобно, потому что с помощью такого синтаксиса можно указать
более двух ссылок в своём запросе, чего вы не сможете сделать с помощью
двух точек. Например, если вы хотите увидеть все коммиты достижимые из refA или refB, но не из refC, можно набрать одну из таких команд:
$ git log refA refB ^refC
$ git log refA refB --not refC
Всё это делает систему выбора ревизий очень мощной, что должно помочь вам определять, что содержится в ваших ветках.
Последняя основная запись для выбора диапазона коммитов — это запись с
тремя точками, которая означает те коммиты, которые достижимы по одной
из двух ссылок, но не по обеим одновременно. Вернёмся к примеру истории
коммитов на рисунке 6-1.
Если вы хотите увидеть, что находится в master или experiment, но не в обоих сразу, выполните
$ git log master...experiment
F
E
D
C
Повторимся, что это даст вам стандартный log-вывод, но покажет только информацию об этих четырёх коммитах, упорядоченных по дате коммита, как и обычно.
В этом случае вместе с командой log обычно используют параметр --left-right, который показывает, на какой стороне диапазона находится каждый коммит. Это помогает сделать данные полезнее:
$ git log --left-right master...experiment
< F
< E
> D
> C
С помощью этих инструментов вы можете намного легче объяснить Git'у, какой коммит или коммиты вы хотите изучить.
prev | next